Warning:
JavaScript is turned OFF. None of the links on this page will work until it is reactivated.
If you need help turning JavaScript On, click here.
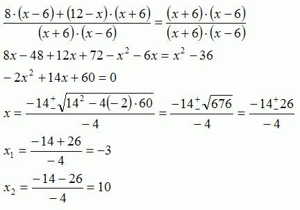
Este mapa conceptual tiene información relacionada a: ECUACIONES CUADRATICAS, <math xmlns="http://www.w3.org/1998/Math/MathML"> <mrow> <mtext> Como una ecuacion en su forma a </mtext> <mmultiscripts> <mtext> x </mtext> <none/> <mtext> 2 </mtext> </mmultiscripts> <mtext> +bx +c a, b y c son numeros reales </mtext> </mrow> </math> se clasifican en factorizacion simple, <math xmlns="http://www.w3.org/1998/Math/MathML"> <mrow> <mtext> Como una ecuacion en su forma a </mtext> <mmultiscripts> <mtext> x </mtext> <none/> <mtext> 2 </mtext> </mmultiscripts> <mtext> +bx +c a, b y c son numeros reales </mtext> </mrow> </math> se clasifican en completando el cuadrado, <math xmlns="http://www.w3.org/1998/Math/MathML"> <mrow> <mtext> Como una ecuacion en su forma a </mtext> <mmultiscripts> <mtext> x </mtext> <none/> <mtext> 2 </mtext> </mmultiscripts> <mtext> +bx +c a, b y c son numeros reales </mtext> </mrow> </math> se clasifican en formula cuadratica, ECUACIONES CUADRATICAS se define <math xmlns="http://www.w3.org/1998/Math/MathML"> <mrow> <mtext> Como una ecuacion en su forma a </mtext> <mmultiscripts> <mtext> x </mtext> <none/> <mtext> 2 </mtext> </mmultiscripts> <mtext> +bx +c a, b y c son numeros reales </mtext> </mrow> </math>