IHMC Public Cmaps (2)

        __________________________________________________________________________________________---Columbus UniversityComtec________________________---
            Comteceduc-octubre 2013
                Comunicación y Tecnología Eductiva - septiembre
                    Trabajo final grupo2
                        Recursos para transgenicos
                            Araúz, Yarenis
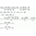
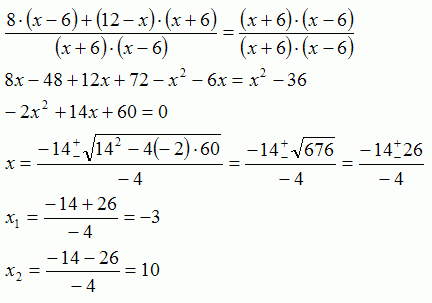
                            Recursos para ECUACIONES CUADRATICAS

                                Recursos para ECUACIONES CUADRATICAS
                                COMPLETANDO EL CUADRADO.url
                                Ecuac de 2grad Completan Cuadrado web .ppt
                                ecuaciones2_2s[1].gif
                                FACTORIZACIÓN SIMPLE 01.url
                                FACTOR SIMPLE.jpg
                                FÓRMULA CUADRÁTICA.url
                                FORMULA CUADRATICA 1.gif
                                FORMULA CUADRATICA 2.jpg
                                FORMULA CUADRATICA EN PDF.pdf
                                maxresdefault.jpg
                                Unidad_5.pdf
                                video.url
                                video1.url
                                WEB DE ECUACIONES CUADRÁTICAS.url