IHMC Public Cmaps (2)

        Charo Velilla
        1BACH

            angulo.jpg
            Binomica a Polar.png
            Conjugado.jpg
            ConjugadoGrafica.jpg
            Ecuacion.jpg
            FT.jpg
            graficapolar.jpg
            modulo2.jpg
            Operaciones.png
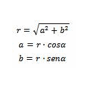
            polar.jpg
            Polar a Binomica.jpg
            Polar a Trigo.jpg
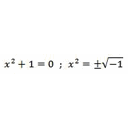
            unidadImaginaria.jpg