IHMC Public Cmaps (2)

    Metodos de puesta a tierra Felipe2

        cmapthumbs
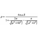
        Formula de resisitividad.gif
        Metodo de caida de potencial.jpg
        Metodo de schlumberger.png
        Metodo de wenner.png
        Puesta a tierra.cmap
        Thumbs.db