IHMC Public Cmaps (2)

        cristina estebanez
        trigonometria

            abstract_wallpapers__28___wallpaper_1440x900.jpg
            Dos angles i un costat.jpg
            dos costats i l'angle comprès.jpg
            Dos costats i l'angle oposat a un d'aquests.jpg
            pitagoras.jpg
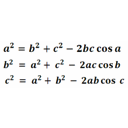
            Teorema del cosinus.jpg
            Teorema del sinus.jpg
            Tres costats.jpg
            Triangles rectangles.jpg
            triangulorazones.jpg
            Trigonometria.cmap