IHMC Public Cmaps (2)

        cristina estebanez
        Funcions

            Asimptota horitzontal.jpg
            Asimptota obliqua.jpg
            Asimptota vertical.jpg
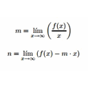
            calcul de limits a infinit.jpg
            cuaderno_math.jpg
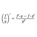
            Derivada del quocient.jpg
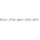
            Derivada de un producte.jpg
            Dreta.jpg
            Equació de la recta Tangent.jpg
            esquerra.jpg
            finits en el infinit.jpg
            fondo.jpg
            funcions.jpg
            Funcions I.cmap
            funcions II.cmap
            infinits en el infinit.jpg
            infinits en un punt infinit.jpg
            matematicas.jpg
            Taula de derivades inmediates (funcions simples).jpg