IHMC Public Cmaps (2)

        _Diego_Concejo
            11-5
                kevin alejandro david florez, ronaldo diaz español, sebastian zuluaga gil
                Mapa Funciones

                    123.url
                    Definicion.url
                    definición.jpg
                    Definición.url
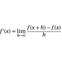
                    Derivada limite.png
                    Dominio Rango.jpg
                    formas.url
                    Funciones.cmap
                    Graficas de funciones.jpg