IHMC Public Cmaps (2)

        _Diego_Concejo
            11-5
            Vanessa Suarez_NataliaToro_11-5

                123.url
                Definicion.url
                definición.jpg
                Definición.url
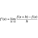
                Derivada limite.png
                Dominio Rango.jpg
                formas.url
                Funciones.cmap
                Graficas de funciones.jpg