IHMC Public Cmaps (2)

        Wilsontobo
            Recursos para FUNCIONES MATEMATICAS
            funciones matematicas

                circulo trigonometrico.jpg
                definicion de cuadratica.url
                definicion de funcion.url
                definicion funcion lineal.url
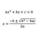
                ecuacion cuadratica.gif
                F Exponenciales.url
                f logaritmica.url
                formula de exponentes.url
                formula exponencial.jpg
                formula-general-1-728.jpg
                formula irreacional.png
                formula logaritmica.gif
                Formula racional.png
                formula vertice.jpg
                f trigonometricas.url
                fucion apartir de dos puntos.jpg
                funcin-lineal-2-728.jpg
                funcion a trozos.url
                funcion constante y a fin.url
                funcion cuadratica.url
                funcion cubica.url
                funcion-cubica.jpg
                FUNCIONES RACIONALES.url
                METODO DE RUFINI.url
                simetricas par ,impar.url