WARNING:
JavaScript is turned OFF. None of the links on this concept map will
work until it is reactivated.
If you need help turning JavaScript On, click here.
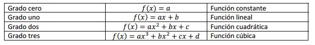
Este Cmap, tiene información relacionada con: CALCULO, Racionales ES Del mismo modo que un número racional puede escribirse como el cociente de dos enteros, una función f es racional si tiene la forma:, par Es Una función es par si, para cada x en el dominio de f , f (– x ) = f ( x ). Las funciones pares tienen simetría reflectiva a través del eje de las y ., funciones de variables reales pares e impares impar, logaritmicas Es Una función logarítmica es aquella que genéricamente se expresa como f (x) == loga x, siendo a la base de esta función, que ha de ser positiva y distinta de 1. La función logarítmica es la inversa de la función exponencial (ver t35), dado que: loga x = b Û a^b = x., FUNCIONES Son funciones de variables reales, par Ejemplo de una función par f ( x ) = x 2 f (– x ) = (– x ) 2 = x 2 = f ( x ), Polinomicas Es Cualquier función que pueda obtenerse a partir de las funciones constantes y de la función identidad por medio del uso de las operaciones de suma, diferencia y multiplicación se denomina función polinomial. Esto equivale a decir que “f” , es una función polinomial con la forma:, logaritmicas Ejemplo funciones logaritmica, funciones de variables reales pares e impares par, impar Ejemplo de una función impar f ( x ) = x 3 f (– x ) = (– x ) 3 = – x 3 = – f ( x ), trigonometricas Ejemplo de funciones trigonometricas, impar Es Una función es impar si, para cada x en el dominio de f , f (– x ) = – f ( x ). Las funciones impares tienen simetría rotacional de 180º con respecto del origen., funciones de variables reales Algebraicas Polinomicas, funciones de variables reales Transcendentes Exponenciales, Exponenciales Ya f(x)= a^x Sea a un número real positivo. La función que a cada número real x le hace corresponder la potencia ax se llama función exponencial de base a y exponente x., a trozos Ejemplo de funcion a trozo, Polinomicas ejemplos de funciones polinomicas, Cualquier función que pueda obtenerse a partir de las funciones constantes y de la función identidad por medio del uso de las operaciones de suma, diferencia y multiplicación se denomina función polinomial. Esto equivale a decir que “f” , es una función polinomial con la forma: Donde el entero positivo “n” es el grado de la función polinómica. Las constantes “ai” se denominan coeficientes, siendo “an” el coeficiente dominante y “a0” el término constante., Racionales ejemplos de funciones racionales, Irracionales Es Del mismo modo que un número irracional no puede escribirse como el cociente de dos enteros, una función f es irracional si tiene la forma