IHMC Public Cmaps (2)

        ct1
            PARKING
                Resources for Demo
                    armoorefam
                        Subject Areas and Study Skills
                            Science
                                Physics
                                    Mechanics
                                        08 Uniform Circular Motion and Gravity
                                        Resources for Uniform Circular Motion

                                            L1 Uniform Circular Motion VOICETHREAD.url
                                            L2 Gravity VOICETHREAD.url
                                            L3 Gravity and the Motion of Planets VOICETHREAD.url
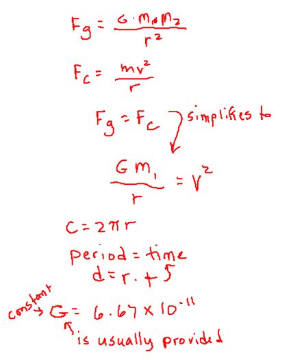
                                            Physics M08 L3 Equations Summary.jpg