IHMC Public Cmaps (2)

    TRABAJO FINAL INNOVACIÓN (Virginia y Yanet)

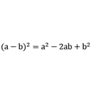
        Cuadrado de una diferencia.png
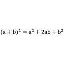
        Cuadrado de una suma.png
        Cuadrados.png
        Descomposición de un polinomio en identidades notables.url
        Ecuación elementos.jpg
        Ejemplo cálculo del grado de un polinomio.url
        Ejemplo cálculo valor numérico de un polinomio.url
        Ejemplo identidades notables.url
        Ejemplo multiplicación de polinomios.url
        Ejemplos.url
        Ejemplos de monomios.url
        Ejemplos de productos y divisiones de monomios.url
        Ejemplos de sumas y restas de monomios.url
        Ejemplos de variaciones porcentuales.url
        Ejemplos monomios semejantes.url
        Ejemplo suma y resta de polinomios.url
        Método de reducción a la unidad.url
        Pentagonales.png
        Regla de tres directa e inversa.url
        Sacar factor común en un polinomio.url
        sherlock-holmes.jpg
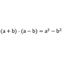
        Suma por diferencia.png
        Teoría. Expresiones algebraicas - Monomios - Polinomios.pdf
        Teoría. Identidades notables - Ecuaciones de 1º grado.pdf
        Teoría. Números Poligonales.pdf
        Teoría. Proporcionalidad - Porcentajes.pdf
        Triangulares.png
        Virginia y Yanet (Innovación).cmap