IHMC Public Cmaps (2)

        _Diego_Concejo
            11-5
            Maria Alejandra Cardona- Mariana Celis Valle- Angie Calle lopez

                0_67.gif
                0_71.gif
                0001893013 (1).png
                141cd9da04cace8925717aafacf71143.png
                180px-Gottfried_Wilhelm_von_Leibniz.jpg
                220px-FunctionMachine.svg.png
                220px-FunctionMachinesComposition.svg.png
                250px-Límite_01.svg.png
                280px-Derivada_cero_11b.svg.png
                4641e2eaf3b81040f0b117bd9417cd2b.png
                8db950ab66d847f2535a66aac58dbf4f.png
                9_rad_1.gif
                9a15d30692a44e5b6f4d6b71c3c14f94.png
                derivadaej3.url
                derivadaejm1.url
                derivadaejm2.url
                derivadaejm6.url
                descarga.jpg
                descarga (1).jpg
                fig6.png
                fond.png
                g.jpg
                gjfhf.jpg
                isaac_newton_hd.jpg
                mapa conceptual.cmap
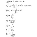
                potencia.jpg
                primerteorema.png
                Teorema fundamental del cálculo - Wikipedia, la enciclopedia libre.htm
                teoremas-sobre-lmites-de-funciones-1-728.jpg
                Tipos de funciones - Vitutor.htm
                y.jpg